A partir del próximo miércoles, 9 de abril, las exportaciones de los Estados miembros de la Unión Europea hacia Estados Unidos estarán sujetas a aranceles del 20 %.

Si bien Donald Trump presentó estos nuevos aranceles como «medidas recíprocas», es decir, como una imposición por parte de Estados Unidos de tasas similares a las aplicadas por los socios comerciales de Washington, las cifras anunciadas el miércoles 2 de abril por el presidente estadounidense se basan en realidad únicamente en la balanza comercial y el monto de las importaciones.

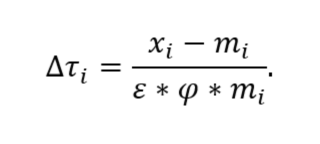
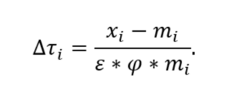
  • La fórmula, aparentemente compleja, publicada en el sitio web de la Oficina del Representante de Comercio de Estados Unidos (USTR) solo tiene en cuenta de facto estos dos parámetros. 1
  • La elasticidad-precio de la demanda de importación y la elasticidad de los precios de importación en relación con los aranceles se fijan en valores que se anulan entre sí, lo que equivale a multiplicarlos por uno.

Contrariamente a lo que ha destacado la administración de Trump en las últimas semanas, los impuestos (en particular el IVA), las regulaciones y otras barreras no arancelarias al comercio han sido eliminados de la ecuación sobre la base en la cual la Casa Blanca ha fijado los niveles de sus aranceles recíprocos. La metodología empleada para llegar a una tasa del 20 % sobre las importaciones de la Unión es, por tanto, cuestionada, o al menos puesta en duda, por los responsables europeos, sobre todo porque, según Trump, esta tasa debería haber sido del 39 %, pero se redujo a la mitad en un arrebato de «amabilidad».

  • Si se aplica la fórmula utilizada por el USTR para alcanzar esa tasa, los Estados miembros de la Unión se habrían enfrentado a aranceles desde el 10 % —el umbral mínimo fijado por la administración de Trump— hasta el 47 % para Eslovaquia y Eslovenia.
  • Mientras que estos dos países registraron un pequeño superávit comercial con Estados Unidos de 8.000 y 6.000 millones de dólares respectivamente en 2024, se les impondría la tasa más alta entre los Estados miembros.
  • Alemania, que exportó a Estados Unidos bienes por valor de 85.000 millones de dólares más de lo que importó, solo estaría sujeta a una tasa del 26 %. La tasa aplicada a Francia sería «solo» del 14 %, es decir, 6 puntos menos que el arancel universal para la Unión.

La metodología utilizada por la administración de Trump es ampliamente cuestionada por los economistas, que consideran, en el mejor de los casos, que se trata de una aproximación utilizada por falta de tiempo para estudiar cada relación comercial bilateral y, en el peor de los casos, que es errónea desde el punto de vista económico y fruto de la incompetencia del equipo económico de la Casa Blanca.

Notas al pie
  1. Reciprocal Tariff Calculations, Office of the United States Trade Representative.